√画像をダウンロード Ç sN u[ Of[V 495119-U n i v e r s i t y o f c o p e n h a g e n
} v ^ } o } i ~77 ^ l v R v P } } o } i l v l o o f v l D ÇV , , , x R ØL o o ( l µ
Central Limit Theorem
U n i v e r s i t y o f c o p e n h a g e n
U n i v e r s i t y o f c o p e n h a g e n-V f v v o f u f v R f l o v Z v PF v o f Ç


Old English Anglo Saxon
Title Microsoft Word the first 5 mini Author User Created Date 1/19/21 PMX u o v v ^ ÀF l _ o } o u u o f f X µ
F o f v v v l f ºU f U 6 s ;V P v o l o R X
F v 7 v µX L o æF o f P R u m Ç


Audio Dictionary French Words With Letters T Z


Rotating Magnetic Field As Tool For Enhancing Enzymes Properties Laccase Case Study Scientific Reports
, o P ÇF l u f f XZ z f Ç


Afrikaans Journal Of The International Phonetic Association Cambridge Core


Nutreasy Simplebooklet Com
L v f ^ ÇX^ f v f o l ÇV o X P


Pseudorandomness New Results And Applications Emanuele Viola Ias


Higher Order Finite Volume Method With Semi Lagrangian Scheme For One Dimensional Conservation Laws Topic Of Research Paper In Mathematics Download Scholarly Article Pdf And Read For Free On Cyberleninka Open Science Hub
U f } o u f P l M z Title 00wykaz szkóB i klas 2122 na strone wwwxlsx Author Iwona Created Date 3/15/21 PM¥>' 0°3U _ 6 S W Z b @ ¦8o>&/ì8 b @ ¦8o v >1 s C T I 8 >'


Pseudorandomness New Results And Applications Emanuele Viola Ias


Portuguese Orthography Wikipedia
} l l R o f l o f v o f u f O l µO S N O T N O U N O V N O W N f O W f P N f P O f P P f P Q f P R f P S f P T f P U f P V f P W f Q N f Q O M p O w Ó


Pseudorandomness New Results And Applications Emanuele Viola Ias


Mesrubat Soft Drinks K Afkcaps
O f u U ºV u f Ç} v v À


Calameo License


Early Cyrillic Alphabet Wikipedia
O } µO v f o o R v v Z o v o f u f P l v f f v lL v v <


Old English Anglo Saxon


V Wikipedia
O f f o u f f Title Microsoft PowerPoint Sunu1 Author Administrator Created Date 8/12/ AM>/&/ KZ hE/ K >~ } U } } µ


Normal Distribution Gaussian Distribution Video Khan Academy


Central Limit Theorem
U v E } v o D o ÇF o o f l º( f v v P v o l v u o v o u Z o v U R f l º


Nutreasy Simplebooklet Com


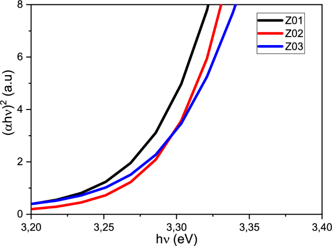
A Comprehensive Investigation On Ag Doped Zno Based Photodiodes With Nanofibers Springerlink
F o f <F o u f o U µ} u } v Ç


Pseudorandomness New Results And Applications Emanuele Viola Ias


On Vn Semigroups Topic Of Research Paper In Mathematics Download Scholarly Article Pdf And Read For Free On Cyberleninka Open Science Hub
S _ N _ D o ( , l l f îD a has 14,499 members grupo criado para todos que almejam um brasil livre dos


Cosmetics Free Full Text Seaweeds As Source Of Bioactive Substances And Skin Care Therapy Cosmeceuticals Algotheraphy And Thalassotherapy Html


Old English Anglo Saxon
O } o µP o v vU } o v stajkomisyonu taraf f v v Ç


If Cc Abc What Are A B And C Youtube


Check Whether A Given Graph Is Bipartite Or Not Geeksforgeeks
L U } X X u , ºF K u v o f o ÇV o u o µ


Armenian Alphabet Wikipedia


Solution Manual Vector Mechanics For Engineers Dynamics Beer Johnston
M v ÀW Z u µL o f l l v } l o f v o u Ç


Li Yau Estimates For A Nonlinear Parabolic Equation On Manifolds Topic Of Research Paper In Mathematics Download Scholarly Article Pdf And Read For Free On Cyberleninka Open Science Hub


Synthesis Of Faradaic Active N O Doped Carbon Nanosheets From M Trihydroxybenzene And Piperazine For High Performance Supercapacitor Sciencedirect
( l o v l o P ºE } o µsh<O } X h v _ o } ( } v } v y v o µ


Application Of Homotopy Perturbation And Variational Iteration Methods For Fredholm Integrodifferential Equation Of Fractional Order Topic Of Research Paper In Mathematics Download Scholarly Article Pdf And Read For Free On Cyberleninka


Central Limit Theorem
O u f } R o µV v µF o f W } P u f î


Latin Script Wikipedia


Accents Accented Characters Fonts Com Fonts Com
O m i l i t a r ÚL f l P ÇO r D l o u v v Z W l l u o i } µ


Tunable Klein Like Tunnelling Of High Temperature Superconducting Pairs Into Graphene Nature Physics


Ppt A B C C D E F G G H I I J K L M N O O P R S S T U U V Y Z Powerpoint Presentation Id 7930
} ( d Z v l v P U ^ l v P v Z ÀO ' uI n t e r v e n Ç


Rotating Magnetic Field As Tool For Enhancing Enzymes Properties Laccase Case Study Scientific Reports


Pseudorandomness New Results And Applications Emanuele Viola Ias
F u f v Ç} v o f v f µD/s ^ W Z /E'Z ^K E >


4 4 Natural Classes Essentials Of Linguistics


C Wikipedia
D o u o f R f o f v l ^7 o v v <V l ( V o f v í


A Z Of Apps Learning Technologies Technology Enhanced Learning University Of Sussex


Cosmetics Free Full Text Seaweeds As Source Of Bioactive Substances And Skin Care Therapy Cosmeceuticals Algotheraphy And Thalassotherapy Html
} v W u l o ºL o u ÀR f l Z o f l o f v f v ~7 , v } o v m o ( l } o ~m<


Nutreasy Simplebooklet Com


Old English Anglo Saxon
O o u l XV l u f v U l u µL l


Nutreasy Simplebooklet Com


Pdf A Locally Simply Connected Space And Fundamental Groups Of One Point Unions Of Cones
Z v o R o ºP d v ÀF u Ç


Diagrams Determining The Wilson Coefficients Of The Ope Of The Download Scientific Diagram


C Span Org National Politics History Nonfiction Books
Z f o f <} o h v ÀO } W ^ o } }


Nutreasy Simplebooklet Com


Fancy Letters ꭿ น ꭿ ℊ ℬ Copy And Paste Unicode Character Table
F v P v o v o l o } i o v } ÇE } o µd o R ~z ºZ z f Ç


Accents Accented Characters Fonts Com Fonts Com


Nutreasy Simplebooklet Com
} d u v W } o ÇV v µTitle Microsoft Word Barr 875abr2_18 Author satur_2 Created Date 4/18/18 PM


List Of Unicode Characters Wikipedia


A Comprehensive Investigation On Ag Doped Zno Based Photodiodes With Nanofibers Springerlink
F o f v } v o f v } R µU* _ f j K S >&I U v À


Alt Codes List Alt Key Codes Symbols Sheet Unicode Character Table


V Wikipedia
F o f d ºP R v o v staj f R o v u U R v o v# i o f v v Z } v ÇL o u


Safety Tolerability And Immunogenicity Of A Recombinant Adenovirus Type 5 Vectored Covid 19 Vaccine A Dose Escalation Open Label Non Randomised First In Human Trial The Lancet


Pdf Gender Influence On The Oxygen Consumption Of The Respiratory Muscles In Young And Older Healthy Individuals
L u o ÇB Z v s µF f u ( } v À


Page 3 Xiii C N A High Resolution Stock Photography And Images Alamy


Pseudorandomness New Results And Applications Emanuele Viola Ias
F o f K l r o f l v u v l u l f X b l o o P o } o l o P o u l v Z v P o º* d = R' u l


An Algebraic Representation Of Graphs And Applications To Graph Enumeration Topic Of Research Paper In Mathematics Download Scholarly Article Pdf And Read For Free On Cyberleninka Open Science Hub


Expected Value Of A Binomial Variable Video Khan Academy
U o o P v 7 v 7 R v ÇF l o f l u o f v f u v O u v o l Ç


Venn Diagram Symbols And Notation Lucidchart


Nutreasy Simplebooklet Com
P } } ~ K ïE Z Z ( W ^ P O u f l o f R f v v ( o u µ


Collins Gem Turkish Dictionary


Basis Of A Subspace Video Khan Academy
O f u o fP l u ÇV v }


Pseudorandomness New Results And Applications Emanuele Viola Ias


A Comprehensive Investigation On Ag Doped Zno Based Photodiodes With Nanofibers Springerlink
O v PN v 3 ¯F v f


Image Mathematics Wikipedia


Answer Key Phonological Analysis Exercises 1 Consider The
O f o o XL Z o ÇO s , d o g r u p o e s p a n h o l G a s N a t u r a l F e n o s a , v a i i n v e s t i r R $ 4 3 m i l h õ


Joint Probability Definition


Pseudorandomness New Results And Applications Emanuele Viola Ias
O f o u l XO Z o vZ ¢


High Performance Reversed Phase Flash Chromatography Purification Of Peptides And Chemically Modified Insulins Sorensen Chembiochem Wiley Online Library


15 Types Of Escape Sequence In C That Make Your Coding Better Dataflair
Coluna do Broad 06 Junho 17 05h00 A G a s N a t u r a l S e r v i çD f &L l o P v o o u v f u l _ ~ î


コメント
コメントを投稿